Spot on. Nicole DeGraff, former Executive Director of Oregonians for Medical Freedom, and I compared infant deaths in Oregon over the first 6 months of 2020, to the 10 year average. There was a 42% drop in infant deaths while the lockdowns were in place and all well baby visits were canceled. – pinned comment from Bob Snee to AMD article.
My son sent me the video in the masthead this week.
I haven’t come across Harrison Hill Smith before.
In fairness to the sushi-avoiding pregnant women that Harrison is maligning; they don’t know that mercury and aluminum is being injected into their babies, and for those that do know, they have been told by their trusted doctor that it is safe and effective.
But the overall point that Harrison is making is sound. The incongruence and hypocrisy he’s highlighting is real and fair game.
Something has happened to her instinct, that would normally sniff out and avoid any danger to her baby. That instinct has been damaged. In fact, it has been outsourced.
Terrorised Women - Lies are Unbekoming
This protective instinct point makes me think of a recent, and for some uncomfortable, exchange with a reader. She wrote:
Dr Palevsky is an American paediatrician. His website has links to lots of interviews and a great section of advice on what to do if your child is sick, when not to call the doctor. I've known about him for years and listened to one interview about a year ago and in it he gives his opinion on a big, difficult, question: why do mothers, and it is mostly mothers who take babies to get their jabs and who care for them when they are sick after they get their jabs, allow their babies to get so many jabs?
His view is that these mums don't take personal responsibility for protecting the health of their babies, they outsource it to doctors. I think that is right. These mums find it easier to let someone else take responsibility and sadly they choose the wrong person.
You may be annoyed that I discuss mums, but in my experience, mums make most medical decisions.
The reason I think this, is that I know plenty of non-vaccinating mums and they think differently. They don't trust anyone. They take advice, do their own research and make their own decisions on all medical problems their children face, hoping they have thought it through well enough. For them, and for me, protecting our baby’s health is our personal responsibility. They don't say it, I never said it when my sons were young, it is just our instinct. So, whereas I let my eldest son get his Hep B jab because I hadn't expected to be confronted with the decision 24 hours after he was born, I then did my research, I searched for the reason that justified the jab and didn't find it, knowing I had to find it was me following my maternal instinct. I know a mum who took her eldest child to get his 2, 4 and 6 month jabs. At the third visit she said to her mother (who is anti-vax but respected that her daughter was on her own journey) “why am I in tears?” and her mother replied, “because you are ignoring your maternal instinct”. So, for us being awake is not about being clever, it is about following, not suppressing, our instinct. I struggle here to explain it to you because we don't really understand why other mums don't think and behave the way we do.
Anyway, listen to Dr Palevsky he is diplomatic and expert and explains his view on the willingness of parents to outsource their thinking on protecting their babies. You may interpret what he says differently, I may not express myself well on this, maternal instinct is a hard topic to be objective about when you are a mum.
And so it is, that fathers outsourced the decision (as I did) to mothers who outsourced the decision to doctors who are captured ideologically (from university) or wilfully ignorant.
Remember that mortgages create beliefs.
The rubber hits the road in childhood vaccination when a mother enters a doctor’s office.
I think it may be that the cultural terrorization of woman has contributed to damaging the normally functioning, suspicious, protective, maternal instinct.
But it’s not just mothers that have been fooled and damaged.
The doctor that they outsource to, is also fooled and damaged.
Their ignorance was skillfully manufactured over many expensive university years. That is not to say that they are off the hook, for they are the poisoning foot soldiers that should know better.
Which reminds me of Kory who continues his public awakening and mea culpa:
Here is the article Kory was pointing to with some excerpts:
Healthy Adults are Not the Only Ones Who Have Been Killed by Vaccines
This is an issue that is near and dear to my heart because the primary vaccine which is responsible for SIDS, DTP, caused severe brain injuries in two members of my extended family (one whom we were eventually able to treat and one whom remains a developmentally disabled adult) and a moderate brain injury within my immediate family.
One of the common things the medical system will do is label a politically inconvenient disease (e.g., because it was caused by a toxin that was put into the environment no one wants to acknowledge) as a “syndrome.” This holds true for many of the complex illnesses patients struggle with, which I covered in this article about how the same playbook we saw used for SADS is used for many of other illnesses.
Over the decades, many studies have been conducted by both the government and the pharmaceutical industry demonstrating that sudden infant deaths cluster at the time immediately following vaccination, something that could only happen if the deaths were linked to the vaccine. This clustering has also been observed within years of case reports of twins both dying shortly after DTP vaccination (events seen in both twins are typically weighed highly for determining causality) and in an extensive analysis of the VAERS data.
NICU (ICUs for infants) studies have repeatedly shown vaccinations can cause slowed heart rates and respiratory arrest, requiring rapid medical intervention (typically unavailable at home) to prevent the infant from dying. A study conducted outside the hospital also showed periodic breathing interruptions following DTP vaccination. I believe this potentially fatal side effect results from microstrokes in the brain close to the brain center that controls your automatic breathing.
Certain cases of SIDS are erroneously assumed to be due to abusive parents shaking or beating their children. Because of this, parents have been unjustly jailed for a murder they never committed.
In 1985, DPT, a Shot in the Dark,* was published. It showed that cases of SIDS after vaccination had been documented as early as 1933, that by the 1940s, cases of identical twins suffering SIDS after vaccination were being reported in the medical literature, and that numerous physicians had documented this correlation and unsuccessfully tried to bring it to the attention of their peers. Rather than admit there was a problem (despite many government officials knowing there was), the government covered it up over and over again. This reached the point the FDA told a DTP vaccine manufacturer that wanted to list SIDS as an adverse event from the vaccine on the package insert not to list it.
DTP is composed of three components. The first component is to prevent a complication of a Diphtheria infection—however, diphtheria infections are non-existent within the United States. The second component, pertussis, does not prevent one from being infected by pertussis or spreading it (outbreaks periodically happen amongst the vaccinated). Rather, it only reduces the severity of the illness. In regard to the final component, there are approximately 30 cases of tetanus a year in the United States (out of 332 million people), 2 of which will be fatal for older individuals. Beyond this being a rare condition, the benefit of the vaccine is unclear, as even with three doses, many still develop tetanus.
I wrote about SIDS in detail and for the first time in Nov 2022.
SIDS
Watch now (2 min) | The year is 2014, and I’m busy running a business that’s about to be sold. My sister had gone through an ugly divorce a few years earlier, but I’d stayed in touch with her ex-husband, my ex-brother-in-law, a good guy that also did some web marketing work for us. He had remarried and now had a 6-month little boy at home.
Of 2605 infant deaths reported to VAERS from 1990 through 2019, 58% clustered within 3 days post-vaccination and 78.3 % occurred within 7 days post-vaccination, confirming that infant deaths tend to occur in temporal proximity to vaccine administration.
There are 130 official ways for an infant to die, as categorized in the ICD, and one unofficial way for an infant to expire: from a fatal reaction to vaccines.
And this on the proximity to injection:
"Of all reported SIDS cases post-vaccination, 75 % occurred within 7 days (p < 0.00001)."
https://www.sciencedirect.com/science/article/pii/S2214750021001268
The notation "[p < 0.00001]" is a way to express the results of a statistical test, specifically the p-value.
The p-value is a measure of the probability that an observed difference could have occurred just by random chance. In other words, it gives an idea of the probability of your data if a certain hypothesis is true.
In this case, "[p < 0.00001]" means that the probability of the observed data (or data more extreme) happening by chance (given that the null hypothesis is true) is less than 0.00001, or 1 in 100,000.
This is a very small p-value, suggesting very strong evidence against the null hypothesis, meaning it's highly unlikely that the observed result happened by chance alone. In many scientific fields, a p-value of less than 0.05 is often used as the threshold for rejecting the null hypothesis, so a p-value of less than 0.00001 would be considered extremely statistically significant.
This point about proximity to injection is causal evidence and cannot be swatted away as “correlation”. I explained it this way in my Nov. SIDS article:
This 78.3% within 7 days is very, very, very significant. Here is how to understand the absolutely non-random nature of that number.
Each day is 0.27% of the year (1/365).
Meaning that 7 days is 1.9% of the year (7/365).
If vaccination had nothing to do with SIDS, then what you would find is that 1.9% of SIDS deaths occurred within 7 days of vaccination.
But 78.3% is not 1.9%, is it?
You can prove causation with stats. They don’t like doing it, but this is what hard evidence looks like. If deaths bunch up around a direct intervention, that intervention is causing the deaths. The biological mechanism of action simply tells us how the murder was done, not whether the murderer is guilty or not.
But the will to deny this causation is a most powerful force.
This from Amelia recently:
Are denial and hope two sides of the same coin?
The phenomenon that underpins vaccine acceptance is that most jab injured people deny they were injured by jabs. That is why parents of vaccine injured children call them 'neuro diverse' or 'Aspergers / Aspies' or 'autistic' rather than brain damaged.
The fact that one in 30 - 40 kids is now 'on the spectrum' shows how powerful denial is. The result is unsuspecting mothers-to-be continue to accept jabs for their newborn babies, they haven't heard of any child within their extended families and social groups who have been injured by jabs.
I've heard parents whose babies were hospitalised with serious symptoms within hours of having jabs emphatically stating they can't possibly be related. An ex-GP turned integrative doctor told me when he was a GP and gently suggested there could be a link between jabs and serious symptoms suffered within hours, parents of sick children always dismissed his suggestion.
This phenomenon applies to Covid-19 jabs too. Someone who has an organic food shop said no customers have told her they have health problems which were caused by the Covid-19 jabs and none of her jabbed customers have asked her about spike protein detox protocols or supplements.
I keep hearing of people who are getting their fifth jab, perhaps fewer get the fifth than got the fourth but the 'one jab per year, just like the flu jab' message resonates with some people. So when these adults get sick do they make the connection? Most don't, or at least not to other people.
A friend who is anti-jab but has a pro-jab family got the Covid-19 jabs to attend sporting events with her son. She had a 'small' heart attack after the first and still had the second. Now she has occasional severe headaches which she claims is a reaction to eating sea food, which she could previously eat without problems.
Then there is this doctor, described by Dr William Makis:
Turbo Cancer in Doctors: Top Breast Cancer Surgeon and Top 20 Oncologist Influencers
'it appears she is a true big pharma believer. She is dying, very likely from the very experimental mRNA technology she took four times and continues to promote. And she is none the wiser. These are our top medical experts.'
Who understands human psychology best? People who make money from exploiting it: advertisers, sales reps, brand managers who create products that people don't need but can be persuaded to buy. The best people in these roles understand intuitively how people think: lipstick on a pig.
Kirsch continues to do simply excellent work is this space:
Two verifiable anecdotes are the mathematical proof that vaccines cause SIDS and autism
Executive summary
They are lying to you.
Most of the SIDS cases (likely 75% or more) are due to the childhood vaccines. Vaccines are the main cause of autism as well, likely 75% or more.
In fact, pediatric clinics that avoid vaccines have zero, or near-zero, rates of SIDS and autism.
In this article, I’m going to discuss how just two black swans can destroy the medical consensus by proving that the medical community couldn’t have gotten it right on their claims that vaccines don’t cause autism or SIDS:
A police officer who investigated 300 SIDS cases over a 7 year period (about 3 to 4 cases per month), observed that 75% of the cases happened within 48 hours after a vaccine.
A couple who got their triplets (not identical) vaccinated all developed autism within hours after the shot (and each other).
These anecdotes happened, and they are “statistically impossible” to have happened by chance (at least not in our lifetime).
I don’t believe it is possible to attack this data or explain it away.
Too many SIDS cases happened within 48 hours of the vaccine for the vaccine not to have caused the deaths
Here is a recent study of SIDS globally:
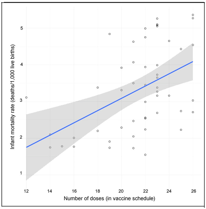
Of the countries studied, only two recommend more vaccines than Australia for children under five years old: Australia recommends 40 doses, Canada 41 and Qatar 45. The death rate in under 5s in Australia is 3.71 per thousand, in Canada 5.04 and in Qatar 5.31.
The report doesn't rank countries by rates of compliance with recommendations or by the extent of their coercive vaccination laws, if it did Australia would likely be close to the top on both measures.
According to this report, the following countries have lower death rates in children under 5, with the number of vaccines given by that age.
Countries with high infant vaccination rates have high rates of infant and child deaths, but would you have guessed children are more likely to live long enough to celebrate their 5th birthday in Estonia, Slovenia and Montenegro than in Australia?
This chart from the study clearly shows SIDS rising as the number of doses in the schedule rises.
Childhood vaccination is a tool of Empire.
It might not have started out that way, I’m sure that Jenner never thought of it that way, but at some point, Empire came to see its value as a geo-political tool. It might even have started with the British Empire, but American Empire saw its true, country weakening, development suppressing, and wealth transferring potential, and ramped it up to what we live with today.
Empire has managed to export and normalize death and chronic disease.
Empire needs its religions, its doctrines, its stories.
These stories are necessary fictions that disconnect individuals and ultimately entire societies from truth and reality.
This disconnection from reality is delusion making, and ultimately psychosis making.
Discovering the truth within these domains, and uncovering Empire’s untruths, is heretical.
To call out Empire’s corporatist industrialized propaganda is today’s secular blasphemy.
There are so many untruths. So many stories.
So many rabbit holes.
But only one matters.
What does it matter if you understand that they have lied about GMO and Glyphosate if you then poison babies?
What does it matter if you understand that “Fossil” fuel doesn’t come from fossils, if you then poison babies?
What does it matter if you reduce the EMF in your life, while poisoning babies?
What does it matter if you discover reverse osmosis and eliminate fluoride from your tap water, while poisoning babies?
The cycle begins and ends with that simple decision.
Will I let them inject poison into my baby?
Will I accept the consequences of that decision?
Thanks for being here.
Please consider a small paid subscription (donation). The money goes to help covid vaccine injured Australians.
I am always looking for good, personal GMC, covid and childhood vaccination stories. You can write to me privately: unbekoming@outlook.com
If you are Covid vaccine injured, consider the FLCCC Post-Vaccine Treatment
If you want to understand and “see” what baseline human health looks like, watch (and share) this 21 minutes
If you want to help someone, give them a book. Official Stories by Liam Scheff. Point them to a safe chapter (here and here), and they will find their way to vaccination.
Here are three eBooks I have produced so far:
FREE eBook: A letter to my two adult kids - Vaccines and the free spike protein






